ان ان دی متیل هیدرازین|سایت فروشگاه مرک
ان ان دی متیل هیدرازین
مجموعه فعالیتها:
واردات و فروش انواع مواد شیمیایی آزمایشگاهی از :نمایندگی مرک در اروپا ، نمایندگی سیگما در اروپا ، نماینده مرک در آسیا و نماینده سیگما در آسیا توسط این واحد
واردات و فروش محیط کشت های آزمایشگاهی میکروبیولوژی و سلولی از برترین برندهای دنیا
اطلاعات کامل کالا:
در پکیج های: 100 سی سی*500 سی سی*
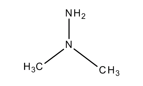
نام فارسی: |
ان ان دی متیل هیدرازین |
نام ماده: |
N,N-Dimethylhydrazine |
مختصر: | N,N-Dimethylhydrazine |
کد محصول مرک: |
810408 |
درصدخلوص: | |
اسم دوم: |
1,1-Dimethylhydrazine, UDMH دی متیل هیدرازین |
فرمول: | C2H8N2 |
C A S NUMBER: | 57-14-7 |
مولار: | 60.09 g/mol |
قابلیت محلول شدن: | (20 °C) soluble |
نقطه جوش: | 63 - 64 °C |
درجه ذوب: | -58 °C |
انبوهی: | 0.79 g/cm3 (20 °C) |
میزان اسیدی: | (H2O) strongly alkaline |
نقطه اشتعال: | 1 °C |
PDF: | |
احتیاط: | |
فرمول ایمنی: |